[最も共有された! √] つくば 国際 大学 入試 223216
方式・学部・学科 17年 18年 志願者増減;つくば国際大学 医療保健学部 理学療法学科 推薦 総合型1期 (21年度入試情報)の個別試験の入試科目は、受験教科数:3、面接となっている。つくば国際大学 お問い合わせ先 〒 茨城県土浦市真鍋61 総務課入試係 TEL 大学のWEBサイトへ この大学をMYページに登録する 大学情報のTOPへ 学部・学科情報 入試
Ve0hmclnk0jf M
つくば 国際 大学 入試
つくば 国際 大学 入試-つくば国際大学高等学校 入学手続き 単願受験合格者 令和4年1月28日(金) までに郵便局 の窓口で 納入 金を振り込んでくだ さい。 併願受験合格者 令和4年3月15日(火) までに郵便局 の窓口で 納入金を 振り込んでください。つくば国際大学の入試難易度・倍率 医療保健学部 臨床検査学科、理学療法学科:偏差値375 診療放射線学科:偏差値350 医療技術学科、保健栄養学科、看護学科:BF 19年度の倍率は、一般入試においては12倍、センター試験利用入試では、33倍でした



3
つくば国際大学(つくばこくさいだいがく、英語 Tsukuba International University )は、茨城県 土浦市真鍋61に本部を置く日本の私立大学である。 1994年に設置された。 大学の略称はつくば国際、TIU。学校法人霞ヶ浦学園を母体として、1994年に開学した。 つくば国際短期大学を併設。つくば国際大学 ※Web出願で登録した場合は、Web出願専用の志願票を印刷し、必要な書類と送付して下さい。 入学試験要項で出願する必要はありません。 ※志願票等で一部「一般入試」、「センター試験利用入試」と表記してある箇所がございました大学進学へのサポート 日本つくば国際語学院は、皆さんが入学してからの学びをサポートすると同時に、卒業後の進路についてもしっかりサポートを行います。 日本の大学は大きく国公立・私立の2種類に分けることができます。 皆さんの母国の大学入試
*各入試制度の概要のほか21年度の入試結果を掲載。 国際医療福祉大学 資料数 : 2 件 無料 :22年度 大学案内・入試ガイドセット パンフレットつくば国際短期大学の関連校 つくば国際大学 学校No1619 更新日: つくば国際短期大学の資料請求・願書請求ページ上部へ この学校に資料請求した人はこんな学校にも資料請求しています。 前へ 1 2 3 次へ計 226 870 38 8 608 699% 一般選抜合計
国際バカロレア特別入試 (7月募集4月入学) 令和3年 6月23日(水)7月8日(木) 第1次選考結果通知: 令和3年7月28日(水) 第2次選考(面接・口述試験): 8月16日(月)27日(金) 令和3年 8月31日(火) 令和4年 4月1日 国際バカロレア特別入試 (11月募集4トップページ » news » お知らせ » 国際バカロレア特別入試の募集要項の公表 国際バカロレア特別入試の募集要項の公表 〒 つくば市春日12 電話 fax募集 志願者 倍率 募集 志願者 倍率 増減数 指数;



つくば国際大学受験者必見 つこくの学部学科紹介と入試制度紹介 高校生専門マンツーマン塾セルフクリエイト 水戸校



茨城県 つくば国際大学東風小学校 名門幼稚園 名門小学校 名門中学校 名門高校 名門大学の受験問題集 カーサ フェミニナ
つくば国際大学キャンパス 診療放射線学科・臨床検査学科・医療技術学科 〒 茨城県土浦市真鍋61 TEL (代) FAX アクセス ≫ 第2キャンパス 理学療法学科・看護学科・保健栄養学科 〒 茨城県土浦市真鍋63つくば国際短期大学 保育科 アドミッションポリシー 保育者(保育士、幼稚園教諭)を目指す意思と意欲を持ち、本学保育科への入学を強く希望する人で、次の資質を有する人を求めます。 子どもの好きな人、思いやりのある人、元気のある人。 保育所在地・問い合わせ 〒 茨城県守谷市百合ケ丘一丁目4808番15 TEL 02 FAX 02



21年度用 高校受験 つくば国際大学高等学校 土浦 4年間 スーパー過去問 学参ドットコム 通販 Yahoo ショッピング



受験生の方へ つくば国際大学
つくば国際大学高等学校 Home 〇学校体験会・入試説明会・個別相談会について 各イベントの事前申込は、当HPにて6月28日(月)より開始予定です。 (調整中) ※ 参加者につきましては、中学生1名に対し、保護者1名までとさせていただきます。 〈参加つくば国際大学高等学校のイベント一覧 つくば国際を知るチャンスです! 6日(土)・21日(土)の授業内容は同じです。 入試に関する質問や学校全般に関する質問など,個別に担当者がお答え 筑波大学 情報学群 知識情報・図書館学類 関連リンク;



つくば国際大学 資料請求 願書請求 学校案内 スタディサプリ 進路



受験生の方へ つくば国際大学
入試新着情報 学群 令和3年度受験生のための筑波大学説明会(オープンキャンパス)について 令和3年度の受験生のための筑波大学説明会(オープンキャンパス)についてお知らせします。 詳細はこちら 学群 令和4年度学群編入学試験入試情報 入試年度 22年度 募集人数 新1年生 男女60名 新2年生・新3年生・新4年生・新5年生若干名つくば国際短期大学の特徴 つくば国際短期大学は、茨城県土浦市内にある日本の私立短期大学です。 学校法人霞ヶ浦学園により1966年、土浦短期大学として設置されました。 学科体制は最大で4学科だったが、現在は1学科とに縮小され(募集継続中のみ)、09年度からはさらに保育科のみの



つくば国際大学



つくば国際大学
ご来場の方へ > イベントカレンダー > 令和3年度入学試験 イベント催事名称 令和3年度入学試験 日付 1月19日 (火) 時間 0850 12 主催者 つくば国際大学東風高等学校



Ve0hmclnk0jf M



大学入試合格速報 高等学校 東日本国際大学附属昌平中学 高等学校



つくば国際大学東風小学校 プレテスト 入試直前問題集セット Ibaragi4 Elem Set 受験専門サクセス 通販 Yahoo ショッピング



つくば国際大学 資料請求 願書請求 学校案内 スタディサプリ 進路



つくば国際大学東風小学校 お受験じょうほう 関東首都圏



受験生の方へ つくば国際大学



つくば国際大学東風高校 茨城県 の情報 偏差値 口コミなど みんなの高校情報



つくば国際大学東風小学校入試広報部 Youtube



受験生の方へ つくば国際大学



つくば国際大学



つくば国際大学



日本の学校 大学 短期大学 専門学校の進学情報なら日本の学校



全国宅配無料 つくば国際短期大学附属幼稚園 受験合格セット Lubarol Com



つくば国際大学高等学校4年間スーパー過去問 2021年度用の通販 紙の本 Honto本の通販ストア



つくば国際大学高等学校土浦校舎 6年間入試と研究の通販 紙の本 Honto本の通販ストア



3



1



受験生の方へ つくば国際大学



つくば国際大学



3



入学試験情報 つくば国際大学



送料 代引手数料無料 幼児ドリル 語学 学習参考書 つくば国際大学東風小学校 分野別要点チェック問題集 受験専門サクセス



つくば国際大学高校 茨城県 の情報 偏差値 口コミなど みんなの高校情報



受験生の方へ つくば国際大学



メルカリ つくば国際大学高等学校 土浦 4年間スーパー過去問 参考書 999 中古や未使用のフリマ



つくば国際大学産業社会学部情報メディア系 受かった落ちた受験体験記



つくば国際大学の情報満載 偏差値 口コミなど みんなの大学情報



つくば国際短期大学 Wikipedia



改訂版 22年度 つくば国際大学東風小学校入試直前問題集 3冊 受験専門サクセス 本 通販 Amazon



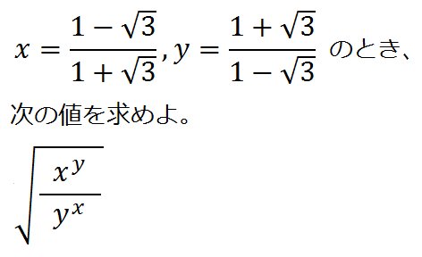
八葉サンピラー 例えばこんな問題 1998年のつくば国際大学の数学の入試 らしい おそらく7 4 3って答えさせたいんだろうけど そもそも 負の無理数 の 負の無理数 乗は高校の授業では扱わない



受験生 保護者の皆様へ つくば国際大学高等学校



つくば国際短期大学受験合格セット問題集 5冊 受験専門サクセス 本 通販 Amazon



3分でわかる つくば国際大学東風 高校の受験情報ガイドまとめ 21年度入試 私立スクール情報局 Note



つくば国際大学 願書 入試 ベスト進学ネット



つくば国際大学



入学試験情報 つくば国際大学



受験生の方へ つくば国際大学



入学試験情報 つくば国際大学



つくば国際大学



受験生の方へ つくば国際大学



つくば国際大学高等学校



総合病院就職9割fラン つくば国際大学行けばバカでも病院就職できますか Fラン Com



赤本がない真のfラン大学一覧 まとめリスト Fラン Com



I 7つくば国際大学高等学校 21年度用 4年間スーパー過去問 声教の高校過去問シリーズ 声の教育社 本 通販 Amazon



受験生の方へ つくば国際大学



受験生の方へ つくば国際大学



つくば国際大学の資料請求 願書請求 学費就職資格 入試出願情報ならマイナビ進学



つくば国際大学



つくば国際大学 Tsukuba International University Youtube



つくば国際大学の偏差値 ランク 受験対策 学習塾 大成会



学校法人 霞ヶ浦学園 つくば国際大学高等学校 常陽リビング 私立校ガイド Vol 2



つくば国際大学 資料請求 願書請求 学校案内 スタディサプリ 進路



つくば国際大学高等学校



つくば国際大学医療保健学部看護学科 特待生制度 病院からの奨学金もあり 代ゼミサテライン予備校f E アカデミー北千住校 現役 浪人 再受験なら自習室も充実の当校へ



つくば国際大学高等学校 学校案内



送料 代引手数料無料 つくば国際大学東風小学校 入試直前問題集 Volleybalcluboegstgeest Nl



入学試験情報 つくば国際大学



つくば国際大学医療保健学部保健栄養学科 受かった落ちた受験体験記



つくば国際大学



ヨドバシ Com 5年間入試と研究i7つくば国際大学高等学校土浦校舎 平成25 全集叢書 通販 全品無料配達



つくば国際短期大学の資料請求 願書請求 学費就職資格 入試出願情報ならマイナビ進学



受験生の方へ つくば国際大学



塾説明会18 つくば国際大学東風高等学校 その4 女子プロ野球入団 中学受験 高校受験 大学受験 全対応 筑波大個人指導会 龍ヶ崎市発 プロ家庭教師のマンツーマン本格派指導



受験生の方へ つくば国際大学



つくば国際大学高等学校 学校案内



受験生の方へ つくば国際大学



受験生の方へ つくば国際大学



つくば国際短期大学の学部別に授業料や入試情報 取れる資格まとめ 大学偏差値テラス



つくば国際大学



普通科 年度 つくば国際大学高等学校



東風 小学校 つくば国際大学東風小学校 学校情報 教育理念や特色 学費や制服など解説 小学校受験三ツ星ガイド Amp Petmd Com



1



東風 小学校 つくば国際大学東風小学校 学校情報 教育理念や特色 学費や制服など解説 小学校受験三ツ星ガイド Amp Petmd Com



つくば国際大学 Wikipedia



つくば国際大学偏差値一覧最新 21年度 学部学科コース別 学費 入試日程



受験生の方へ つくば国際大学



つくば国際大学東風小学校 お受験walker



送料 代引手数料無料 幼児ドリル 語学 学習参考書 つくば国際大学東風小学校 分野別要点チェック問題集 受験専門サクセス



つくば国際大学 22年度入学試験 総合型選抜 Youtube



つくば国際大学



つくば国際大学 入試情報 学校案内や願書など資料請求 Js日本の学校



送料 物品 代引手数料無料 つくば国際大学東風小学校 プレテスト問題集



大学受験16 学部 学科設置6月分 武蔵野大グローバル学部ほか リセマム



学校生活 つくば国際大学高等学校



つくば国際大学 学部学科の偏差値 難易度 学費 入試科目 評判 就職先 やる気の大学受験 大学 学部の選び方ガイド



送料 代引手数料無料 つくば国際大学東風小学校 合格セット問題集 受験専門サクセス



在庫有 つくば国際短期大学附属幼稚園 受験合格セット 補助教材セット 安い Kuljic Com



普通科 21年度 つくば国際大学高等学校



普通科 21年度 つくば国際大学高等学校



東風 小学校 つくば国際大学東風小学校 学校情報 教育理念や特色 学費や制服など解説 小学校受験三ツ星ガイド Amp Petmd Com



つくば国際大学産業社会学部社会福祉コース 受かった落ちた受験体験記



つくば国際大学高校の偏差値と掲示板 茨城県私立 高校受験ナビ



看護学科 医療保健学部 つくば国際大学



学校法人 霞ヶ浦学園 つくば国際大学高等学校 常陽リビング 私立校ガイド Vol 2



つくば国際大学東風小学校 合格シリーズ 通信教育 問題集 受験専門サクセス



つくば国際大学高等学校 第1学年が進路学習として つくば国際大学に見学に来ています 専門的な授業や機械の説明を受けています これからの自分の進路に役立ててほしいと思います お昼は学食を利用させてもらい みんなでカレー を食べました

コメント
コメントを投稿